contoh soalan geografi tingkatan 2
Bab 5 Pengankutan Di Malaysia Bab 6 Telekomunikasi Di Malaysia Bab 7 Kepelbagaian Iklim Dan Pengaruh Terhadap Kegiatan. LATIHAN GEOGRAFI TINGKATAN 2 KSSM BAB 1 DRAFT.
Latihan Geografi Tingkatan 2 Bab 2 Peta Topografi Worksheet
Latihan Soalan-Soalan Geografi Tingkatan 2 Jawapan.
. 54265498 ujian-mac-geografi-tingkatan-2 Fyza Hasnin. Bank soalan geografi tingkatan 1 kssm. Bank soalan seni tingkatan 2 kssm 2018.
Soalan Pertengahan Tahun Geografi Tingkatan 2 adalah antara bahan-bahan terbaik yang kami adaBahan yang terdapat di sini memenuhi keperluan Pentaksiran Berasaskan Sekolah yang dilaksanakan secara menyeluruh mengikut prinsip bahawa semua mata pelajaran yang terkandung dalam KSSM memainkan peranan yang penting bagi memenuhi keperluan. Merentas desa 2017 smkcp. BENTUK MUKA BUMI DAN SALIRAN DI ASIA TENGGARA Bab 10 Bentuk Muka Bumi Dan.
Bank soalan geografi tingkatan 2 kssm 2018. Di sini akan dikongsikan koleksi soalan akhir tahun bagi tingkatan 2 KSSM Kurikulum Standard Sekolah Menengah untuk pelbagai mata pelajaran. Jawab semua soalan dalam kertas OMR yang diberikan.
Kurikulum standard sekolah menengah kssm. LATIHAN GEOGRAFI TING 2 BAB 2 PETA TOPOGRAFI. Soalan peperiksaan akhir tahun geografi tingkatan 2 2019 f 150 soalan peperiksaan akhir tahun geografi tingkatan 2 2019 oticon soalan peperiksaan akhir tahun geografi tingkatan 2 2019 ram soalan peperiksaan akhir tahun geografi tingkatan 22019 current mass shootings soalan.
LATIHAN 3 50 soalan DRAFT. Geografi Tingkatan 2 KSSM Bab 1 Skala Dan Jarak Bab 2 Peta Topografi Bab 3 Pengaruh Pergerakan Bumi Terhadap Cuaca Dan Iklim Bab 4 Cuaca Dan Iklim Di Malaysia. Mohon ambil perhatian kepada semua pengguna supaya tidak.
Melalui penggunaan ICT para guru boleh memaksimumkan penambahan perkongsian pembelajaran secara online sama ada pembelajaran secara jarak. 14 days ago by. Ulangkaji peta topografi SIRI 2 JAWAB SEMUA SOALAN DENGAN TEPAT ID.
Di peringkat sekolah menengah juga peperiksaan turut diadakan sepanjang tahun bagi menilai pencapaian murid. October 2 September 1 July 3. Laman ini merupakan himpunan latihan online Geografi Tingkatan 2 KSSM.
Ujian Akhir Tahun Geografi Tingkatan 2 KSSM Contoh 2. Soalan Peperiksaan Akhir Tahun Geografi Tingkatan. Berikut merupakan Ujian Akhir Tahun Geografi Tingkatan 2 KSSM.
Semoga para pelajar mempoleh bermanafaat dari bahan yang disediakan. Peperiksaan SPM soalannya kebanyakan digubal daripada Majlis Pengetua ataupun guru guru pakar yang terdapat dalam daerah atau negeri. 3rd - 8th grade.
Soalan-soalan yang disediakan di dalam Bank Soalan Peperiksaan Akhir Tahun Tingkatan 2 ini menepati segala keperluan pelajar untuk membuat persediaan menghadapi peperiksaan dan memperoleh kelulusan yang cemerlang. Cupak ialah A180o B 248o C230o D270o. Jenis Pola Petempatan Contoh kawasan Berselerak Berjajar Berselerak Berpusat Berkelompok Bandar Persimpangan jalanraya Kebunkecil getah.
Selepas murid selesai menjawab soalan sijil penyertaan kuiz akan dihantar secara automatik kepada murid. Admin February 14 2019. Latihan online ini merupakan himpunan latihan berasaskan latihan google form.
Berikut adalah koleksi Bank Soalan untuk Geografi Tingkatan 1 dan Tingkatan 2 mengikut DSKP KSSM Geografi yang terkini. A day ago by. 1 Sungai Pandan mengalir ke arah Atenggara B barat laut Cutara Dtimur laut 2 Jarak mengikut jalan raya dari Kg.
Full PDF Package Download Full PDF Package. Calon SPM wajib menduduki semua kertas peperiksaan bagi mata pelajaran yang didaftar. Pelajar dan guru dapat memanfaatkan penggunaan ICT bagi memberikan impak kualiti yang baik dalam pembelajaran pada masa kini.
Guru-guru geografi boleh menghantar pautan himpunan latihan ini kepada murid atau. Soalan 1 hingga Soalan 6 berdasarkan peta di bawah. Bank soalan geografi tingkatan 2 kssm 2018.
Kurikulum Standard Sekolah Menengah KSSM merupakan kurikulum baharu yang diperkenalkan pada waktu ketika KSSR. Soalan-soalan ini terdiri daripada set soalan objektif dan juga set soalan struktur. 6th - 10th grade.
TINGKATAN 2 DAN TINGKATAN 3 Age. Contoh soalan geografi tingkatan 2 kssm 2018 2019 05 09t190600 0700 rating. A short summary of this paper.
Koleksi Soalan Latihan Nota Modul Geografi Tingkatan 2 Jawapan. Walau bagaimanapun koleksi soalan ini hanya dikhaskan kepada GURU GEOGRAFI sahaja. Muhibah ialah A73 km B 108 km C145 km D83 km 3 Bearing sudutan Kg.
Peta topografi Other contents. By on Scribd. ULANGKAJI Add to my workbooks 16 Download file pdf Embed in my website or blog.
PAT Geografi Tingkatan 2 KSSM Contoh 2. PT3SOALAN AKHIR TAHUN MATEMATIK TINGKATAN 2 Cikgu Ho C P SMK Tunku Putra Batu Pahat. Soalan Peperiksaan Akhir Tahun Geografi Tingkatan 2 2019.
4 Apakah objek yang terdapat di bahagian. Soalan Peperiksaan Ahkir Bersama Jawapan tahun Pen. Latihan geografi tingkatan 1.
Bank soalan seni visual tingkatan 1 kssm 2017. Logo smk cochrane perkasa. GEOGRAFI BAB 10 TINGKATAN 1.
Soalan 1dan Soalan 2 berdasarkan Rajah 1. 17012014 211537 Disediakan oleh.
Soalan Peperiksaan Pertengahan Tahun Geografi Tingkatan 1 Ahmad Marogi
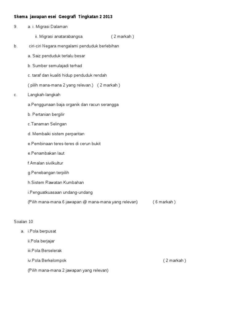
Skema Jawapan Esei Geografi Tingkatan 2 2013 Pdf
Soalan Peperiksaan Pertengahan Tahun Geografi Tingkatan 2
Contoh Soalan Peperiksaan Geografi Tingkatan 2 Rasmi Sub
Soalan Akhir Tahun Geografi Tingkatan 2 Kssm 2019 Selangor D
Soalan Geografi Kssm Tingkatan 1 Asundlogokh
Contoh Soalan Geografi Tingkatan 2 Kssm Farahcellu
Soalan Geografi Tingkatan 2 Google Form Ajenraha
Geografi Tingkatan 2 Bab 1 Skala Dan Jarak 1 Worksheet
Soalan Peperiksaan Akhir Tahun Geografi Tingkatan 2 Bersama Jawapan Pdf
Soalan Peperiksaan Pertengahan Tahun Geografi Tingkatan 2
Top Pdf Soalan Peperiksaan Akhir Tahun Geografi Tingkatan 1 123dok Com
Soalan Geografi Tingkatan 2 Ujian Kemajuan 1 2018 Pdf
Soalan Geografi Tingkatan 2 Bab 4 Kerja Kosn
Praktis Geo Bab 3 Tingkatan 2 Worksheet
Soalan Latihan Geografi Tingkatan 2 Kssm Nice Info B
Soalan Geografi Tingkatan 2 Bab 1 Viral Blog L
Himpunan Latihan Geografi Tingkatan 2 Yang Meletup Khas Untuk Guru Guru Lihat Pendidikan Abad Ke 21
